# =============================================================================
# Heterogeneous Kuramoto Oscillators
# =============================================================================
# Source: https://juliadynamics.github.io/NetworkDynamics.jl/stable/generated/heterogeneous_system/
#
# Kuramoto phase oscillators on a ring (Watts-Strogatz k=2, p=0) with
# heterogeneous natural frequencies and sinusoidal coupling K sin(theta_j - theta_i).
# =============================================================================
id: 101
label: "Heterogeneous Kuramoto Oscillators"
description: >
Kuramoto model on an 8-node ring network. Each oscillator has a natural
frequency omega_0 and is coupled to its nearest neighbours via
K sin(theta_src - theta_dst). Demonstrates heterogeneous per-node parameters.
Recreates the NetworkDynamics.jl Heterogeneous System tutorial.
references:
- "https://juliadynamics.github.io/NetworkDynamics.jl/stable/generated/heterogeneous_system/"
- "Kuramoto, Y. (1975). Self-entrainment of a population of coupled non-linear oscillators."
# -- Local Dynamics ------------------------------------------------------------
dynamics:
name: Kuramoto
label: "Kuramoto phase oscillator"
description: >
Single-variable phase oscillator: d(theta)/dt = omega_0 + sum(edges).
The natural frequency omega_0 is a per-node parameter (heterogeneous).
system_type: continuous
autonomous: true
parameters:
omega0:
label: "Natural frequency"
symbol: "omega_0"
value: 0.0
unit: "rad/s"
description: "Intrinsic angular frequency of the oscillator (heterogeneous per node)"
distribution:
name: Uniform
domain: { lo: 0.2, hi: 1.0 }
coupling_terms:
c_coupling:
description: "Aggregated sinusoidal coupling from incident edges"
state_variables:
theta:
label: "Phase angle"
symbol: "theta"
equation:
rhs: "omega0 + c_coupling"
description: "d(theta)/dt = omega_0 + sum K sin(theta_j - theta_i)"
initial_value: 0.0
distribution:
domain: { lo: 0, hi: 6.283185 }
unit: "rad"
variable_of_interest: true
# -- Network -------------------------------------------------------------------
network:
label: "8-node ring (Watts-Strogatz k=2, p=0)"
description: >
Regular ring lattice: each node is connected to its 2 nearest
neighbours on each side. Equivalent to watts_strogatz(8, 2, 0)
in Graphs.jl.
number_of_nodes: 8
graph_generator:
name: watts_strogatz
type: WattsStrogatz
parameters:
k: { name: k, value: 2 }
p: { name: p, value: 0 }
coupling:
KuramotoCoupling:
name: KuramotoCoupling
label: "Kuramoto sinusoidal coupling"
description: >
Antisymmetric coupling: K sin(theta_src - theta_dst).
The AntiSymmetric wrapper ensures g_src = -g_dst.
delayed: false
parameters:
K:
label: "Coupling strength"
value: 3.0
unit: "1"
description: "Global coupling strength between oscillators"
pre_expression:
rhs: "K * sin(x_j - x_i)"
description: "Kuramoto coupling: K sin(theta_j - theta_i)"
# -- Integration ---------------------------------------------------------------
integration:
description: "Explicit Runge-Kutta (Tsit5) with dt=0.05 over t in [0, 10]"
method: Tsit5
step_size: 0.05
duration: 10.0
time_scale: "s"
Heterogeneous Kuramoto Oscillators
Phase oscillators with heterogeneous frequencies on a ring network
Replicates the NetworkDynamics.jl Heterogeneous System tutorial — Kuramoto phase oscillators on an 8-node ring with heterogeneous natural frequencies.
YAML Specification
Model Report
Heterogeneous Kuramoto Oscillators
Kuramoto model on an 8-node ring network. Each oscillator has a natural frequency omega_0 and is coupled to its nearest neighbours via K sin(theta_src - theta_dst). Demonstrates heterogeneous per-node parameters. Recreates the NetworkDynamics.jl Heterogeneous System tutorial.
1. Brain Network: 8-node ring (Watts-Strogatz k=2, p=0)
Regular ring lattice: each node is connected to its 2 nearest neighbours on each side. Equivalent to watts_strogatz(8, 2, 0) in Graphs.jl.
- Regions: 8
Coupling: Kuramoto sinusoidal coupling
Antisymmetric coupling: K sin(theta_src - theta_dst). The AntiSymmetric wrapper ensures g_src = -g_dst.
Pre-synaptic: \(c_{\text{pre}} = - K \cdot \sin{\left(x_{i} - x_{j} \right)}\)
| Parameter | Value | Description |
|---|---|---|
| \(K\) | 3.0 | Global coupling strength between oscillators |
2. Local Dynamics: Kuramoto phase oscillator
Single-variable phase oscillator: d(theta)/dt = omega_0 + sum(edges). The model comprises 1 state variables.
2.1 State Equations
\[\dot{\theta} = c_{coupling} + \omega_{0}\]
2.2 Parameters
| Parameter | Value | Unit | Description |
|---|---|---|---|
| \(\omega_{0}\) | 0.0 | rad_per_s | Intrinsic angular frequency of the oscillator (heterogeneous per node) |
3. Numerical Integration
- Method: Tsit5
- Time step: \(\Delta t = 0.05\) ms
- Duration: 10.0 ms
References
Kuramoto, Y. (1975). Self-entrainment of a population of coupled non-linear oscillators. Lecture Notes in Physics, 420-422.
Cabral, J., Hugues, E., Sporns, O., & Deco, G. (2011). Role of local network oscillations in resting-state functional connectivity. NeuroImage, 57(1), 130-139.
Strogatz, S. (2000). From kuramoto to crawford: exploring the onset of synchronization in populations of coupled oscillators. Physica D: Nonlinear Phenomena, 143(1–4), 1-20. - https://juliadynamics.github.io/NetworkDynamics.jl/stable/generated/heterogeneous_system/ - Kuramoto, Y. (1975). Self-entrainment of a population of coupled non-linear oscillators.
Generated Julia Code
# exp is already loaded in the 'Model Report' section above
Code(exp.render_code("networkdynamics"), language='julia')using Graphs
using NetworkDynamics
using OrdinaryDiffEqTsit5
function Kuramoto_f!(dx, x, esum, (omega0,), t)
theta = x[1]
c_coupling = esum[1]
dx[1] = c_coupling + omega0
nothing
end
vertex_Kuramoto = VertexModel(;
f = Kuramoto_f!,
g = StateMask(1:1),
sym = [:theta],
psym = [:omega0 => 0.0],
name = :Kuramoto,
)
function KuramotoCoupling_edge_g!(e_dst, v_src, v_dst, (K,), t)
e_dst[1] = -K .* sin(v_dst[1] - v_src[1])
nothing
end
edge_KuramotoCoupling = EdgeModel(;
g = AntiSymmetric(KuramotoCoupling_edge_g!),
outsym = [:coupling],
psym = [:K => 3.0],
name = :KuramotoCoupling,
)
g = watts_strogatz(8, 2, 0)
nw = Network(g, vertex_Kuramoto, edge_KuramotoCoupling)
s = NWState(nw)
using Random
rng = MersenneTwister(42)
for node in 1:nv(g)
s.v[node, :theta] = 0 .+ (6.283185 - 0) .* rand(rng)
end
for node in 1:nv(g)
s.p.v[node, :omega0] = 0.2 .+ (1.0 - 0.2) .* rand(rng)
end
tspan = (0.0, 10.0)
prob = ODEProblem(nw, uflat(s), tspan, pflat(s))
sol = solve(prob, Tsit5(); saveat=0.05)
adj_matrix = Float64.(adjacency_matrix(g))
using Random: MersenneTwister
function spring_layout(g; seed=42, iterations=50, k=1.0)
rng = MersenneTwister(seed)
n = nv(g)
pos = randn(rng, n, 2)
for _ in 1:iterations
disp = zeros(n, 2)
for i in 1:n, j in (i+1):n
d = pos[i, :] - pos[j, :]
dist = max(norm(d), 0.01)
rep = k^2 / dist
disp[i, :] .+= d / dist * rep
disp[j, :] .-= d / dist * rep
end
for e in edges(g)
i, j = src(e), dst(e)
d = pos[j, :] - pos[i, :]
dist = max(norm(d), 0.01)
att = dist^2 / k
disp[i, :] .+= d / dist * att
disp[j, :] .-= d / dist * att
end
for i in 1:n
dl = max(norm(disp[i, :]), 0.01)
pos[i, :] .+= disp[i, :] / dl * min(dl, 0.1)
end
end
return pos
end
using LinearAlgebra: norm
node_positions = spring_layout(g)
using Plots
plot(sol; ylabel="state", xlabel="time", title="Kuramoto on 8-node network")
Run & Plot
ts = exp.run(format="networkdynamics")
ts.plot()Detected IPython. Loading juliacall extension. See https://juliapy.github.io/PythonCall.jl/stable/compat/#IPython

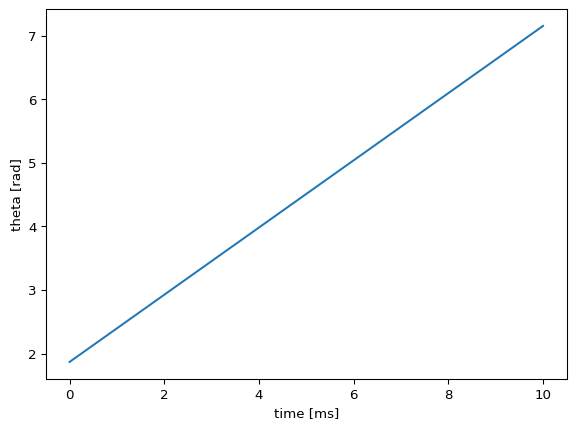
Results
Shape: (201, 1, 8)
Time range: 0.0 – 10.0
Final theta range: [6.293, 12.570]
Animate
ani = ts.animate("theta", format="dots")
ani.save("kuramoto.gif", writer="pillow", fps=20)